当前位置:寨上街道> 政务公开> 最新文件

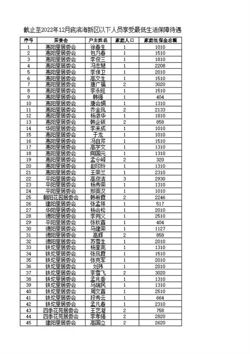
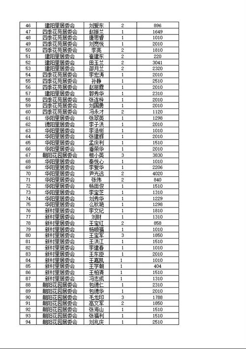
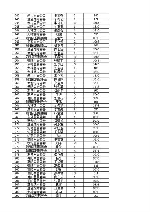
寨上街2022年12月最低生活保障信息
发布日期: 2022-12-13 14:31      来源: 寨上街
字号:
  • 扫一扫在手机打开当前页

    现将寨上街2022年12月最低生活保障信息公示如下:

    享受最低生活保障待遇:

    享受低收入待遇、享受特困供养待遇:


    全国各省市政府网站
    天津市各区政府网站
    滨海新区政府系统网站
    重点链接
    ?